楕円による平面充填のヒネリを一つ。
横置き楕円と縦置き楕円を交互に配置するものであります。
同一の偏心率の楕円を等間隔におく単純なパターンである。縦置き楕円も横置き楕円も同じ間隔にしてある。横軸の長さaを1としている。
こうした配列の条件での充填を生成するのは、楕円の接触条件を求めれば、後はたやすいはず。
上図のすき間に円を埋め込みたくなるのが人情というものであろう。
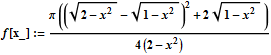
円の半径は奇妙な式になる。
偏心率をeとすると
r=Sqrt[2-e^2] -Sqrt[1-e^2]

この方式だと充填率は円だけものよりも向上できる可能性はある。
実際に下記の方形における充填率をeの関数で計算してみた。

面白いのが関数の極大値である。

どうもe=0.75のあたりに極大がありそうである。
これが充填率が最大になるらしいeだ。
0.88を与える。
その場合の配置図はこうなるようです。
たしかにギュウギュウ詰めになったような印象は受けますね。

楕円による自明でない平面充填はそれなりにシンメトリカルものだった。





