またもや、気の向くままにガンマ関数と調和級数を調べてみようと思います。
ガンマ関数はこんな定義です。nの階乗を解析的に表式化したのであります。
実は公式集などをみると微分した値で、オイラーの定数が現れます。
あんれま、不思議だべ!
ということでその系列を調べてみたんですね。
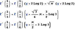
ガンマ関数の公式をいじくり回すと下記の式が導出できました。
1/3や1/4のときのガンマ関数の値は簡単に書き表せないようです。そして、n=1/5となるとトタンに難しい値になります。分数だと一般化は難しいですね。
けれども、nが自然数だとガンマ関数の有名な公式があり、一般的にこうなります。
すると調和級数が出現するのです。
ここでHarmonicNumber[n]はいつものように1+1/2+1/3+....+1/nです。
これを逆転させると「調和級数関数」が定義できます。
つまり、xが実数でも調和級数が計算できるようになります!
ガンマ関数の微分が入るのがイヤラシですが、ご勘弁くださいますように。
これは便利です。実際にこんな分数での調和級数を算出できます。


ご参考までに負のxを含めた、この関数の形状を示しておきます。xが正では対数曲線的な挙動をします。






