「二次方程式の根の曲面」の続きで、必当然的に「三次方程式の根の曲面」となります。三次方程式の標準形を設定し、その係数p,q によって、解が描く曲面を生成する流れも同じですね。

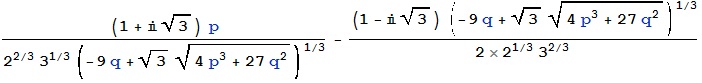
この解は以下の三通りですね。



虚数が混じっていますが、気にせず先に行きます。
p, qの関数として解zの存在する面を生成していきます。p, qの範囲はプラスマイナス3
としましょう。
3つの曲面を合成したイメージを下に示します。


pが0~3でシャギーが出ているのと、原点に穴が空いているのは、計算上のノイズのせいであります。
原点付近で弯曲点があるのを上の3つの式を個別に描いて合成するやり方ではうまく表示できないのでしょう。
実数解はこの曲面上に存在するのは確からしいです。