役に立つとは思えない関数の族を見つけたので報告しておこう。
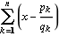
連分数による有理近似で任意の数xに対して、成立するのが
フルヴィツの定理だ。Pn,Qnは連分数によるn番目の有理近似の分子分母である。
連分数を進めると分母が大きくなり(Pn/Qn)がドンドンxに近づく。
そうすると次のような和を定義できる。
この総和はフルヴィツ定理からほぼ収束するであろう。
しかし、いったいどうなるのカナ。


と得体の知れない数に収束したようだ。
計算を簡単にする手前、総和のn=30項である(以下同じ)
最初の5項はこんな感じであり、これを30項まで足した結果である。

謎は深まる。
数値には特徴なしで、関係性もなく、面白みもない。
つまり、なんにも使えない関数っポイ。純粋な数学だ!
連分数でちょっと違いがある黄金比に適用するとこうだ。円周率では次となる。
ますます使えない(WolframAlfaでチェックしている)
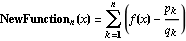
かまわず一般化に走る。関数にしてしまえ!乱暴だけどども。
ここで関数f(x)は任意の関数をいれこむとする。
f(x)=xの場合のグラフを見てやろう。
なんだろうか?このノコギリは。
f(x)=x^2の場合
ますます奇態である。
でもって驚いたのが三角関数のケースであります。
f(x)=Sin(x)
ある区間では三角関数sin(x)ではこの和はオリジナルの値になるのであろうか?
それとどうもx=Pi/2ではグラフと違い「0」になっているようだ。
とにかく不思議です。
【参考】今回の関数
Newfunct12[x_]:=Apply[Plus,Table[N[Sin[x]-FromContinuedFraction[ContinuedFraction[Sin[x],n]],30],{n,1,30}]]







